丨来源:财政部网站
国务院关税税则委员会关于降低日用消费品进口关税的公告
税委会公告〔2018〕4号
为进一步满足人民美好生活需要,推动供给侧结构性改革,主动扩大开放,自2018年7月1日起,降低部分进口日用消费品的最惠国税率,涉及1449个税目。因最惠国税率调整,自2018年7月1日起,取消210项进口商品最惠国暂定税率,其余商品最惠国暂定税率继续实施。具体税目及税率调整情况见附件。
特此公告。
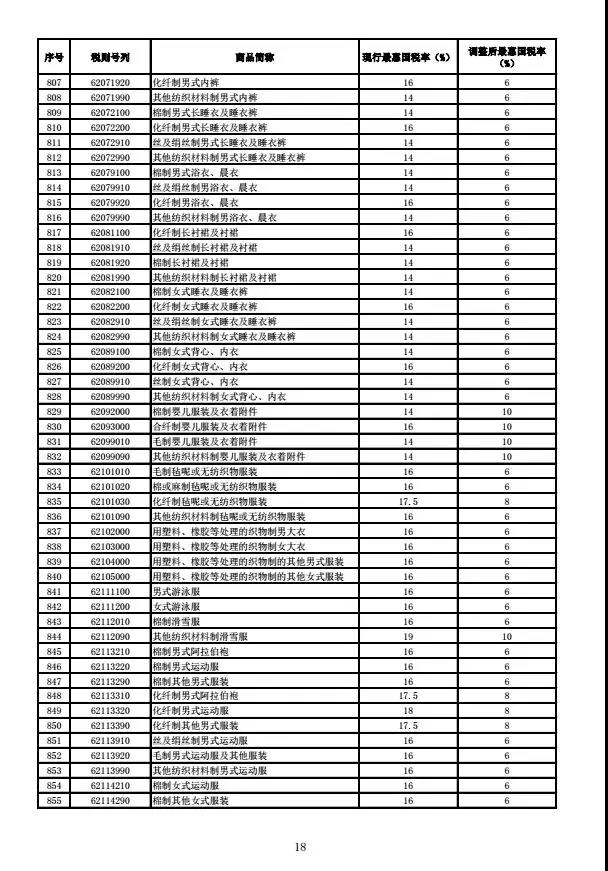
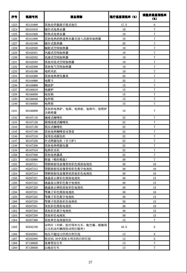
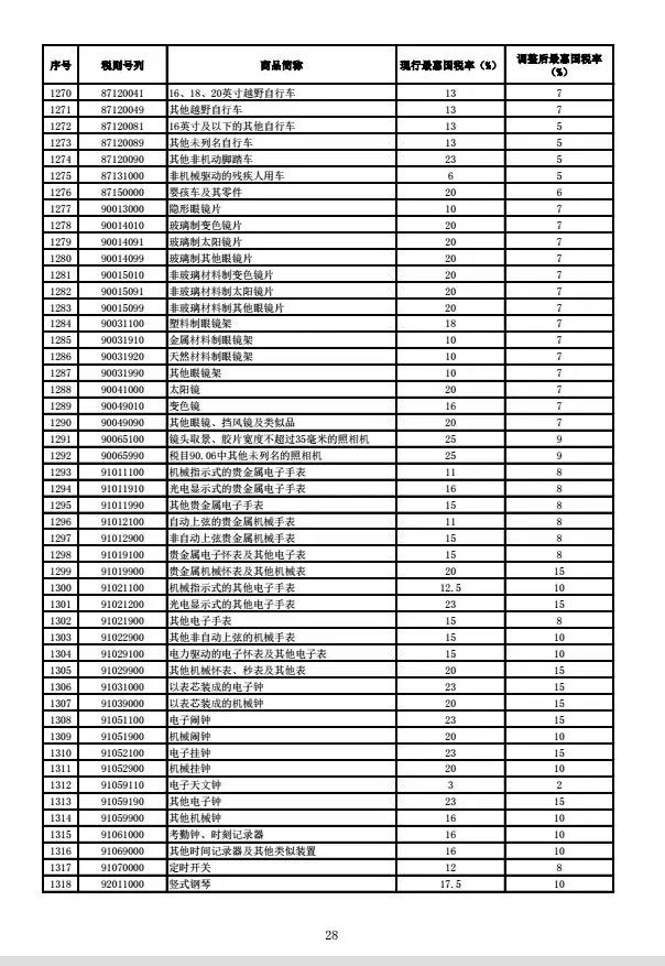
附件:1.进口日用消费品最惠国税率调整表
2.进口商品最惠国暂定税率调整表
国务院关税税则委员会
2018年5月31日
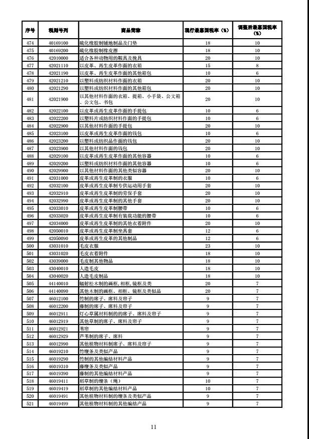
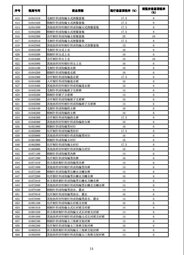
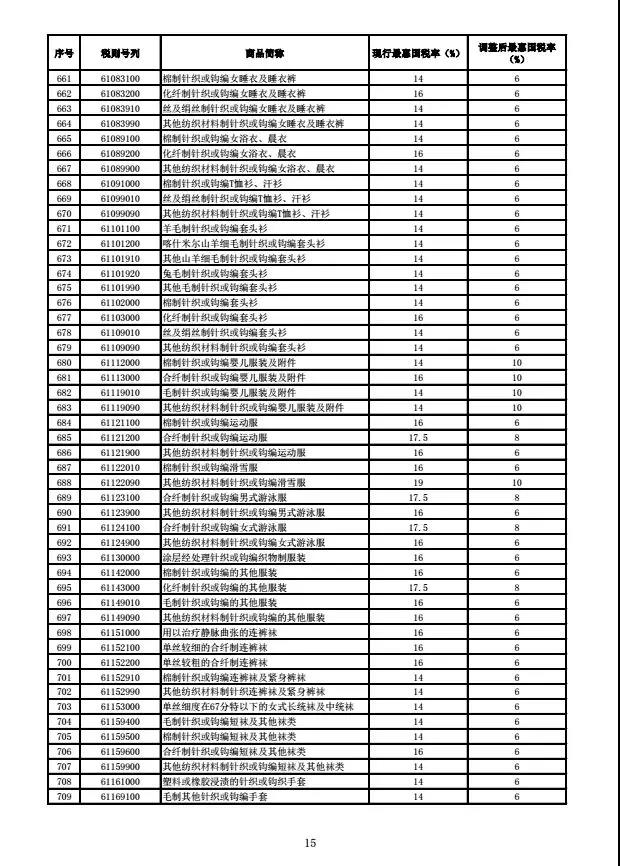
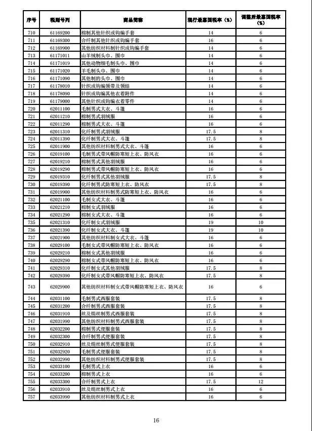
进口日用消费品最惠国税率调整表
(戳大图更清晰↓)
进口商品最惠国暂定税率调整表
(戳大图更清晰↓)




























